Export des fichiers d'écritures comptables (FEC)
Modifié le Jeu, 29 Janv. à 10:14 H
Erplain vous donne la possibilité d'extraire vos fichiers d'écritures comptables, plus communément appelés FEC. Ces derniers contiennent l'ensemble des opérations comptables ayant eu lieu sur une période donnée, il s'agit donc d'informations pertinentes dans le cadre de la gestion comptable de votre activité.
Pour activer les exports comptables, il faut donc se diriger vers les paramètres de l'entreprise.
L'activation des exports comptable amène la création d'une nouvelle catégorie dans Erplain, nommée Comptabilité. Vous pouvez alors paramétrer vos exports comptables.
Vous pouvez alors affecter les libellés et les comptes de votre choix ainsi que créer des familles de comptes pour des opérations spécifiques. Les caisses sont ici les caisses Shopify en cas de connexion.

Vous pouvez ensuite créer un export, avec 2 options : Créer un export sur une période de temps précise ou un export sur toute la période depuis le précédent export.
Une fois l'export créé, après quelques minutes selon le nombre d'opérations à traiter, il ne reste alors qu'à le télécharger.

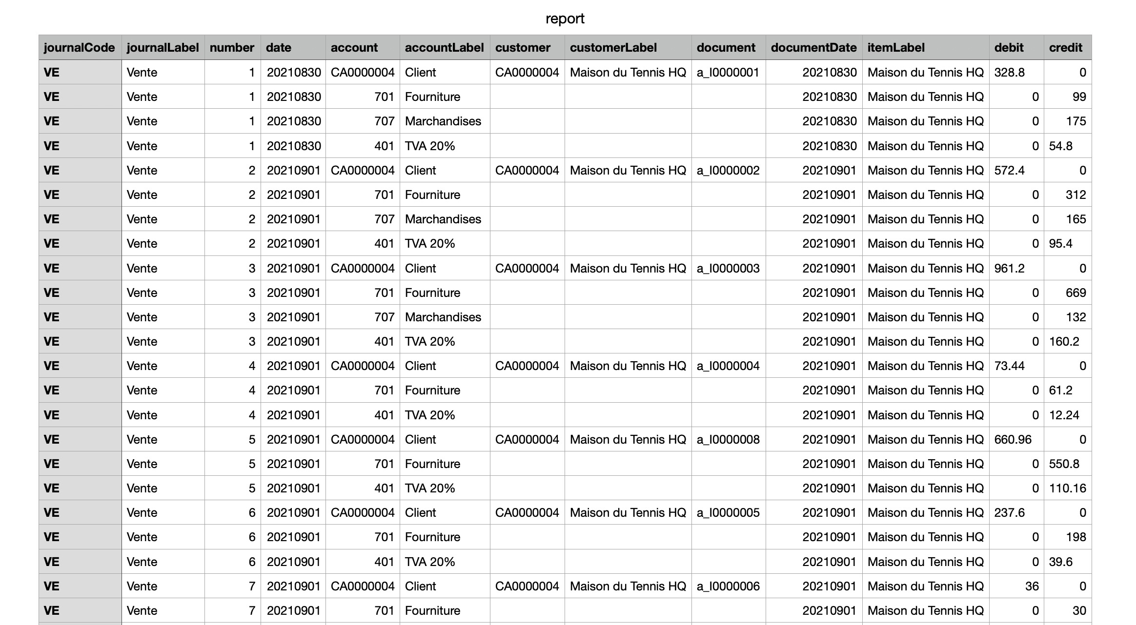
Une fois l'export téléchargé, vous avez alors accès à une archive contenant chacune de vos opérations mais également leur compte-rendu, sous la forme d'un tableur.
Cet article a-t-il été utile ?
C'est super !
Merci pour votre commentaire
Désolé ! Nous n'avons pas pu vous être utile
Merci pour votre commentaire
Commentaires envoyés
Nous apprécions vos efforts et nous allons corriger l'article